Тема: Програму написати за допомогою циклів for, while та do/while
Хто може допомогти?
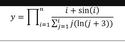
Обчислити значення функції для n=1,2,3,4,5.
Програму написати за допомогою циклів
for, while та do/while.
Порівняти результати
Ви не увійшли. Будь ласка, увійдіть або зареєструйтесь.
Ласкаво просимо вас на україномовний форум з програмування, веб-дизайну, SEO та всього пов'язаного з інтернетом та комп'ютерами.
Будемо вдячні, якщо ви поділитись посиланням на Replace.org.ua на інших ресурсах.
Для того щоб створювати теми та надсилати повідомлення вам потрібно Зареєструватись.
Український форум програмістів → C++ → Програму написати за допомогою циклів for, while та do/while
Сторінки 1
Для відправлення відповіді ви повинні увійти або зареєструватися
Хто може допомогти?
Обчислити значення функції для n=1,2,3,4,5.
Програму написати за допомогою циклів
for, while та do/while.
Порівняти результати
Скільки платите?
дякую, вже не потрібно)) сам додумався)
sasha1175, код покажіть, мо, кому знадобиться.
Правда, покажіть і закоментуйте. Я правда формулу геть не розумію, знаки якісь дивні, чудні.. Що це?
for({int s=0;int i=0};{s=s+n[i];i++};i<N);сорян не хаває...не допрацьований цикл в компіляторі.
но принцип понятний.
Сторінки 1
Для відправлення відповіді ви повинні увійти або зареєструватися