Тема: Обчислення виразу
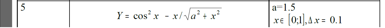
допоможіть Скласти програму обчислення на ПЕОМ значення виразів, вказаних у таблиці 6
(варіант 5), згідно з заданими формулами та вихідними даними.  заздалегідь дякую )
Ви не увійшли. Будь ласка, увійдіть або зареєструйтесь.
Ласкаво просимо вас на україномовний форум з програмування, веб-дизайну, SEO та всього пов'язаного з інтернетом та комп'ютерами.
Будемо вдячні, якщо ви поділитись посиланням на Replace.org.ua на інших ресурсах.
Для того щоб створювати теми та надсилати повідомлення вам потрібно Зареєструватись.
Український форум програмістів → Pascal/Delphi → Обчислення виразу
Сторінки 1
Для відправлення відповіді ви повинні увійти або зареєструватися
допоможіть Скласти програму обчислення на ПЕОМ значення виразів, вказаних у таблиці 6
(варіант 5), згідно з заданими формулами та вихідними даними.  заздалегідь дякую )
[img]http://s018.домен агресора/i504/1305/4e/128b3beefcef.jpg[/img]
- Ваші напрацювання, а не Вашого інституту де?
- Де Ваш код? Де Ви намагаєтесь розв_язувати задачу. Навіть якщо він не працює.
- Де ВАШІ ідеї, як розв_язувати це завдання.
х За шекель можу написати за Вас
Ось програма, та є правило - тобі одну, ти три іншим. Тобто на одну написану тобі програму (алгоритм), ти маєш написати безкоштовно по програмі (алгоритму) трьом іншим відвідувачам форуму. Не хо писати для інших - маєш два варіанти: більше не з'являтися на форумі чи надіслати мені гроші (32 грн.). Вибір за тобою. 
{
   Лабораторна робота #5
   
   Copyright 2013 Viktor Matvieienko <Hetman.Net@gmail.com>
   
   This program is free software; you can redistribute it and/or modify
   it under the terms of the GNU General Public License as published by
   the Free Software Foundation; either version 2 of the License, or
   (at your option) any later version.
   
   This program is distributed in the hope that it will be useful,
   but WITHOUT ANY WARRANTY; without even the implied warranty of
   MERCHANTABILITY or FITNESS FOR A PARTICULAR PURPOSE.  See the
   GNU General Public License for more details.
   
   You should have received a copy of the GNU General Public License
   along with this program; if not, write to the Free Software
   Foundation, Inc., 51 Franklin Street, Fifth Floor, Boston,
   MA 02110-1301, USA.
   
   
}
program replace;
uses crt;
const a=1.5;
var x : Extended;
var y : Extended;
var b : Extended;
var c : Extended;
var d : Extended;
var e : Extended;
BEGIN
    WriteLn('Run!');
    WriteLn('y=((cos(x))^2-x)/sqrt(a^2+x^2), a=1.5, x=0,0.1..1');
    d:=a*a;
    x:=0;
    while x<1.1 do
        begin
        b:=Cos(x);
        c:=b*b;
        b:=c-x;
        c:=x*x;
        e:=c+d;
        c:=Sqrt(e);
        y:=b/c;
        WriteLn('x=',x:8:5,'    ','y=',y:8:3);
        x:=x+0.1;
        end;
    WriteLn('Stoped!')    
END.а чого 32 ? як вираховуєшь собівартість ? і чого так дешево ? у тебе є трійко добірних китайців-програмерів в підвалі ?
Я думаю 32, бо якщо HetmanNet візьме більше в нього буде переповнення, і коунтер буде постійно обнулятись 
а чого 32 ? як вираховуєшь собівартість ? і чого так дешево ? у тебе є трійко добірних китайців-програмерів в підвалі ?
a = pow(2, number_of_lines)/pow(2, 5);
b = ceil(a);
c = number_of_branching/b;
d = ceil(c);
e = b+1;
f = 5*b;
price = pow(e, f)*d;Я думаю 32, бо якщо HetmanNet візьме більше в нього буде переповнення, і коунтер буде постійно обнулятись
От дурко, якщо HetmanNet має комірку пам'яті довжиною в 5 біт, то значення 32 вже є переповненням! Тому ваша версія хибна.
You should have received a copy of the GNU General Public License along with this program; if not, write to the Free Software Foundation, Inc., 51 Franklin Street, Fifth Floor, Boston, MA 02110-1301, USA.
Щось я не бачу копії GNU GPL поруч із програмою. Чи мені писати до FSF?
HetmanNet написав:You should have received a copy of the GNU General Public License along with this program; if not, write to the Free Software Foundation, Inc., 51 Franklin Street, Fifth Floor, Boston, MA 02110-1301, USA.Щось я не бачу копії GNU GPL поруч із програмою. Чи мені писати до FSF?
Пиши, хай вони тобі надішлють копію. 
Сторінки 1
Для відправлення відповіді ви повинні увійти або зареєструватися