Тема: Виправити помилки в коді
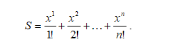
Потрібно знайти суму ряду (картинка): 
х=3.5
n=10
Є наступний код
#include <iostream>
#include <cmath>
using namespace std;
int fact(int x) {
    int p = 1;
    if (x == 0) return 1;
    for (int i = x; i >= 1; --i) {
        p *= i;
    }
    return p;
}
int main() {
    int n = 10, i = 2, j = 1;
    double S = 0;
    double x=3.5;
while (i++ <= 10);
{
    S +=  pow(x, j) / fact(i);
    ++i;
    j += 1;
}
    cout << S << endl;
    return 0;
}



