Тема: Формули на С++
Панове, дуже прошу не критикувати мене, просто допомогти.
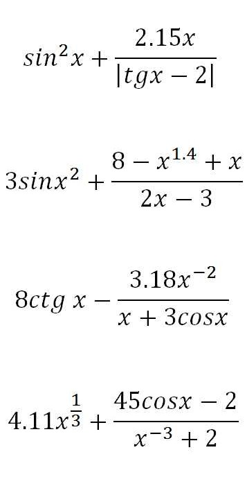
Ці чотири приклади написати на С++. Хто чим може — допоможіть. Дякую
Ви не увійшли. Будь ласка, увійдіть або зареєструйтесь.
Ласкаво просимо вас на україномовний форум з програмування, веб-дизайну, SEO та всього пов'язаного з інтернетом та комп'ютерами.
Будемо вдячні, якщо ви поділитись посиланням на Replace.org.ua на інших ресурсах.
Для того щоб створювати теми та надсилати повідомлення вам потрібно Зареєструватись.
Український форум програмістів → C++ → Формули на С++
Сторінки 1
Для відправлення відповіді ви повинні увійти або зареєструватися
Панове, дуже прошу не критикувати мене, просто допомогти.
Ці чотири приклади написати на С++. Хто чим може — допоможіть. Дякую
Тримай
#include <iostream>
#include <conio.h>
#include <math.h>
using namespace std;
int main()
{
double x;
cout << "Enter x ->";
cin >> x;
cout << "sin^2x+2.15x/|tax-2| = " << pow(sin(x), 2) + ((2.15*x)/(tan(x)-2))<<endl<<
"3sinx^2+8-x^1.4+x/2*x-3 = "<<3*pow(sin(x),2)+((8-pow(x,1.4)+x)/(2*x-3))<<endl<<
"8ctgx-3.18x^-2/x+3cosx = "<<8*atan(x)-((3.18*pow(x,-2))/(x+3*cos(x)))<<endl<<
"4.11x^1/3+45cosx-2/x^-3+2 = "<<4.11*pow(x,1/3)+((45*cos(x)-2)/(pow(x,-3)+2));
getch();
return 0;
}
прошу пробачення, але там пропущений модуль числа у першому прикладі abs((tan(x)-2)) якось так, мені здається. Але за старання дякую
Не побачив, вже виправив і там в третьому прикладі ctg я замінив на arctg не пам'ятаю я його записати
#include <iostream>
#include <conio.h>
#include <math.h>
using namespace std;
int main()
{
double x;
cout << "Enter x ->";
cin >> x;
cout << "sin^2x+2.15x/|tax-2| = " << pow(sin(x), 2) + ((2.15*x)/(abs(tan(x)-2)))<<endl<<
"3sinx^2+8-x^1.4+x/2*x-3 = "<<3*pow(sin(x),2)+((8-pow(x,1.4)+x)/(2*x-3))<<endl<<
"8ctgx-3.18x^-2/x+3cosx = "<<8*atan(x)-((3.18*pow(x,-2))/(x+3*cos(x)))<<endl<<
"4.11x^1/3+45cosx-2/x^-3+2 = "<<4.11*pow(x,1/3)+((45*cos(x)-2)/(pow(x,-3)+2));
getch();
return 0;
}
Сторінки 1
Для відправлення відповіді ви повинні увійти або зареєструватися