Тема: Вища математика, інтеграли
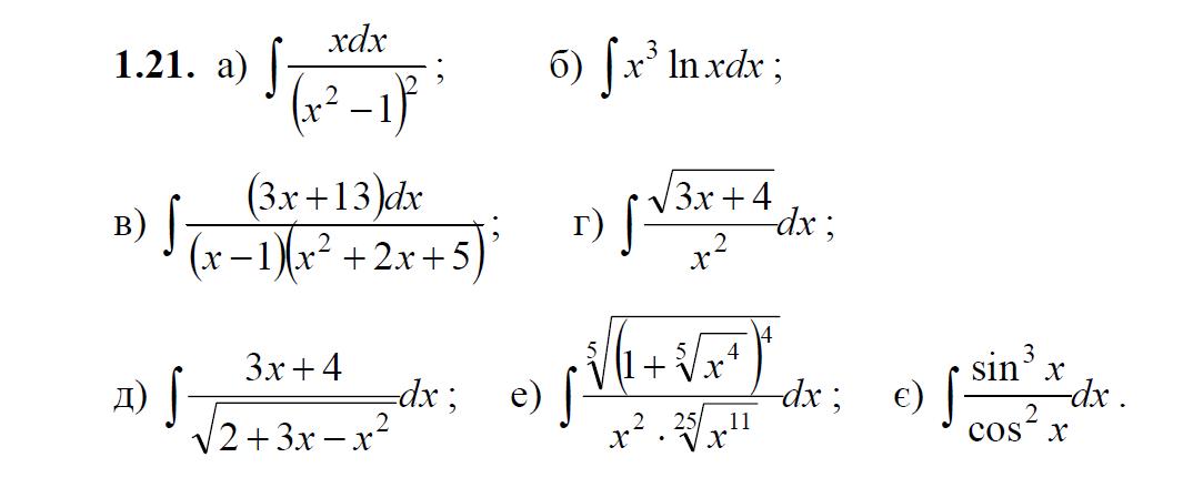
інтеграли, не можу розібратися, допоможіть!!! завдання в зображенні!!!
Ви не увійшли. Будь ласка, увійдіть або зареєструйтесь.
Ласкаво просимо вас на україномовний форум з програмування, веб-дизайну, SEO та всього пов'язаного з інтернетом та комп'ютерами.
Будемо вдячні, якщо ви поділитись посиланням на Replace.org.ua на інших ресурсах.
Для того щоб створювати теми та надсилати повідомлення вам потрібно Зареєструватись.
Український форум програмістів → Інше → Вища математика, інтеграли
Сторінки 1
Для відправлення відповіді ви повинні увійти або зареєструватися
інтеграли, не можу розібратися, допоможіть!!! завдання в зображенні!!!
Це дуже легкі інтеграли. 
Почитайте тут:
Методи інтегрування (wiki)
+
Таблиця інтегралів (wiki)
Ось тут можна відповіді глянути:
integral (wolframalpha)
Сторінки 1
Для відправлення відповіді ви повинні увійти або зареєструватися