1 Востаннє редагувалося 10menbey (19.10.2018 14:17:30)

Тема: Допоможіть знайти проблему

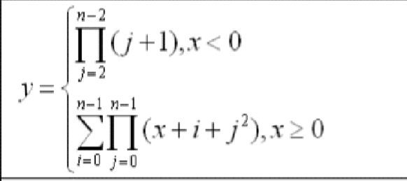
Я написав код до цього рівняння , але не працює (((((( допоможіть вирішити проблему

#include "pch.h"
#include <iostream>
using namespace std;

int main() {
    setlocale(LC_ALL, "rus");
    double n, x, j, i, p, y;
    cout << "Введіть n>=4   n=";
    cin >> n;
    cout << "Введіть  x=";
    cin >> x;
    y = 0;
    if (x < 0) {
        for (j = 2; j <= n - 2; j++)
            y = j + 1;
    }
    else
        j = 0; i = 0; 
    for (j <= n - 1; i++; j++) {
        p = x + i + (j*j);
        y = p * i;
    }
    cout << "y=" << y << endl;
    return 0;
}

http://replace.org.ua/misc.php?action=pun_attachment&amp;item=1924&amp;download=0

Post's attachments

Снимок.PNG 22.61 kb, 147 downloads since 2018-10-19 

2

Re: Допоможіть знайти проблему

1. Це не зовсім рівняння. Ні, ну в певному сенсі рівняння там, звісно, є, але вам із ним, швидше за все, не треба робити нічого, специфічного для рівняння - там, корені шукати, наприклад.
2. Неможливо написати "код до рівняння", код можна писати лише до завдання. Яке ви не навели.
3. У вас там якийсь "rus" вказаний як локаль, і якщо ви гадаєте, що то "рідне українське село", то я вас розчарую.
4. Щоб код запрацював, треба його передати на компілятору, а результат запустити. Я, звісно, можу припустити, що ви це зробили, просто зі скромності вирішили промовчати; але якби замість "не працює" ви конкретно написали, що ви очікували побачити, а що бачите, нам було б значно легше вам допомогти.

Подякували: leofun011

3 Востаннє редагувалося 10menbey (19.10.2018 14:41:38)

Re: Допоможіть знайти проблему

там є додана фото під кодом

4 Востаннє редагувалося 10menbey (19.10.2018 14:47:10)

Re: Допоможіть знайти проблему

я очікую побачити правильний розрахунок ну і свої помилки в кодові звісно

5

Re: Допоможіть знайти проблему

10menbey написав:

там є додана фото під кодом

Я бачу, і до цього і стосується мій п.1

6

Re: Допоможіть знайти проблему

ну так ви допоможите

7

Re: Допоможіть знайти проблему

А ви напишете, що саме ви вважаєте "правильним розрахунком", а що виводить замість цього компілятор чи ваша програма?

Подякували: leofun011

8

Re: Допоможіть знайти проблему

Втом то й справа що нічого  . Вирішення задачі та що на фото (і код )

9 Востаннє редагувалося koala (19.10.2018 15:42:38)

Re: Допоможіть знайти проблему

Якщо комп'ютер нічого не виводить, спробуйте підключити його до мережі та увімкнути живлення.
А якщо компіляція завершується і на долю секунди вихоплюється вікно і одразу закривається до того, як ви щось встигаєте прочитати, спробуйте перед return додати щось на кшталт

int temp;
cin>>temp;

Тоді програма очікуватиме, доки ви щось введете, і не завершиться.

Прихований текст

Ще є поганий варіант

system("pause");

Поганий він тим, що задля однієї паузи ви запускаєте програму, значно складнішу за вашу.

Подякували: leofun011

10

Re: Допоможіть знайти проблему

Ви мене не докінця зрозуміли мені потрібна програма яка буде вирішувати цю задачу але я прошу її перевірити і якщо є помилки показати де !!!і по можливості допомогти вирішити

11

Re: Допоможіть знайти проблему

10menbey написав:

Ви мене не до кінця зрозуміли

Ви мене теж.
Дивіться, в програмуванні дуже важливо чітко розуміти, що саме вам потрібно і що ви для цього робите - комп'ютер же буде виконувати ваші команди, а як він буде їх виконувати, якщо ви навіть українською не можете чітко сформулювати, що вам треба?
Вам потрібна програма? Ну, припустимо. Програма має виконувати певне завдання. Яке? Ви так і не сформулювали, ви тільки дали формулу певної функції y(x,n). Із цією формулою можна за допомогою різних програм:
- знайти її значення в конкретній точці;
- побудувати таблицю її значень;
- побудувати її графік (зокрема, 3-вимірний);
- знайти певні її особливі точки;
- знайти похідну чи інтеграл;
- та будь-що інше, що на думку спаде.
Я у вас просив дати завдання? Так, і не один раз, у різних формах. Ви його дали? Ні.
Далі, ви написали код, який має виконувати це завдання. Цей код, як ви стверджуєте, "не працює". Це "не працює" може означати що завгодно, від того, що не вмикається комп'ютер (вирішення: перевірити дріт живлення) чи компілятор повідомляє про внутрішню помилку (вирішення: перевстановити компілятор), до того, що ви хочете, щоб відповідь виводилася жовтим кольором, а вона виводиться сірим. Порівняйте опис: "не працює" та "коли я вводжу x=3 n=2, програма виводить 3, але за моїми підрахунками правильна відповідь буде 4". У першому випадку можна зрозуміти, що комп'ютер увімкнено, компілятор працює, програма запускається, приймає те, що ви їй вводите, і щось видає? А в другому? Що вам заважає так написати? Я вас про це просив написати? Так. Ви написали? Ні.
Тепер ви пишете "я прошу її перевірити і якщо є помилки показати де". Але раніше ви стверджували, що "не працює". Так "не працює" чи ви навіть не знаєте, чи є там помилки? Погодьтеся, розрізнити це ви здатні без нас: якщо "не працює", то ви напевно можете сказати, що десь є помилка, і описати її, як сказано вище. Чи це така спроба маніпуляції - хоч якимось чином переконати когось на форумі запустити ваш код, проаналізувати, як він працює, і сподіватися, що він вам відпише, і байдуже, як - чи то "не працює", чи то "прошу перевірити"? Тут це не спрацьовує, ви й самі бачите.
Ви, мабуть, можете припускати, що нам легко і без ваших підказок скопіювати цей код до свого компілятора, запустити, побачити проблему і сказати вам, де вона. Ну так, в принципі, не важко. Але розумієте, в чому питання: ви вже бачите цю проблему, і, схоже, намагаєтеся зекономити собі час та зусилля на її описі за рахунок нашого часу. Це нелогічно - нам ніби не має бути ліньки робити ту роботу, яку ви вже зробили, бо вам ліньки її описати. Якщо ви дозволяєте собі економити час за наш рахунок - то чому б нам не зробити те саме, тобто не зекономити собі трохи часу за ваш рахунок і не проігнорувати ваше питання?
Коротше, я чекаю від вас:
- повне завдання;
- код, який ви написали (вже є);
- опис проблеми (ще раз, конкретно: що ви робите, що у відповідь вам виводиться, чим вас це не задовільняє);
- якісь ваші думки стосовно того, від чого ця проблема може виникати (якщо жодних думок немає, хоча б максимально локалізуйте проблему - "я гадаю, що щось неправильно обчислюється в рядку 10, але не бачу, як це виправити").
Швидше за все, що поки ви описуватимете це все, ви зрозумієте, в чому проблема і зможете її вирішити без нас. Якщо ні - повірте, на питання у такій формі залюбки дадуть відповідь на будь-якому айтішному форумі.

Подякували: ReAl, leofun012