Тема: Допоможіть виправити помилку! Буду вдячний!!!

Программа написана в Delphi

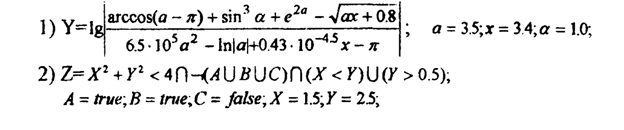
Program kyrs1;

Const
a=3.5;
x=3.4;
a2=1.1;
A1=true;
B=true;
C=false;
X1=1.5;
Y=2.5;
Var
ch,zn,y1:real;
z:boolean;
arccos:real;
log:real;
Begin
ch:=ArcCos (a-pi)+sqr(sin(3))*a+exp(2*a)-sqrt(a*x+0.8);
zn:=6.5*10(sqr(5))*a*(sqr(2))-ln(a)+0.43*10(sqr(-4.5))(x-pi);
Y1:=log(ch/zn);
WriteLn ('y=;Y1');
z:=x(sqr(2))+y(sqr(2))<4 (not-(A1 or B or C))(not(X1<Y))or(Y>0.5);
WriteLn ('z=;z2');
ReadLn;
end.

Post's attachments

Безымянный.jpg 43.58 kb, 363 downloads since 2014-04-29 

2

Re: Допоможіть виправити помилку! Буду вдячний!!!

А в чому помилка полягає?

Прихований текст
Подякували: Misha__Samopal1

3

Re: Допоможіть виправити помилку! Буду вдячний!!!

Odin88 написав:

А в чому помилка полягає?

Прихований текст

ch:=ArcCos (a-pi)+sqr(sin(3))*a+exp(2*a)-sqrt(a*x+0.8);


а далі я не знаю чи вірно

4

Re: Допоможіть виправити помилку! Буду вдячний!!!

Пане, якщо ви не бачите проблем в цій програмі - то ідіть її здавати. Якщо у вас є проблема, то ми вам її допоможемо вирішити; але якщо проблем немає - то що ми зробимо?

Подякували: Misha__Samopal1

5

Re: Допоможіть виправити помилку! Буду вдячний!!!

koala написав:

Пане, якщо ви не бачите проблем в цій програмі - то ідіть її здавати. Якщо у вас є проблема, то ми вам її допоможемо вирішити; але якщо проблем немає - то що ми зробимо?

Проблема в тому що вона не робить я хотівби щоб хтось зробив та довів що цей приклад робить!

6

Re: Допоможіть виправити помилку! Буду вдячний!!!

Misha__Samopal написав:
koala написав:

Пане, якщо ви не бачите проблем в цій програмі - то ідіть її здавати. Якщо у вас є проблема, то ми вам її допоможемо вирішити; але якщо проблем немає - то що ми зробимо?

Проблема в тому що вона не робить я хотівби щоб хтось зробив та довів що цей приклад робить!

Дотепний жарт вийшов.

Подякували: Misha__Samopal, Chemist-i2

7

Re: Допоможіть виправити помилку! Буду вдячний!!!

Misha__Samopal написав:

ch:=ArcCos (a-pi)+sqr(sin(3))*a+exp(2*a)-sqrt(a*x+0.8);

а далі я не знаю чи вірно

Із синусом не вірно. По-перше sqr - це піднесення в квадрат а не у куб. Плюс аргумент функції sin у вас має бути a.

Подякували: Odin88, Misha__Samopal2

8 Востаннє редагувалося Odin88 (30.04.2014 12:34:04)

Re: Допоможіть виправити помилку! Буду вдячний!!!

Misha__Samopal написав:
Odin88 написав:

А в чому помилка полягає?

Прихований текст

ch:=ArcCos (a-pi)+sqr(sin(3))*a+exp(2*a)-sqrt(a*x+0.8);


а далі я не знаю чи вірно

Насправді,ArcCos (a-pi) тут записано теж неправильно.У вас ArcCos це змінна :

arccos:real;

а Ви хочете в ній передати якесь значення параметру a-pi.

Подякували: Torbins, Misha__Samopal2

9

Re: Допоможіть виправити помилку! Буду вдячний!!!

Odin88 +1 за спостережливість.

Misha__Samopal
Odin88 правий, щоб з'явилися усілякі додаткові математичні функції, треба підключати модуль Math. Щоправда я не впевнений, чи є він у древньому турбо паскалі.

Подякували: Odin88, Misha__Samopal2

10

Re: Допоможіть виправити помилку! Буду вдячний!!!

Torbins написав:

Odin88 +1 за спостережливість.

Misha__Samopal
Odin88 правий, щоб з'явилися усілякі додаткові математичні функції, треба підключати модуль Math. Щоправда я не впевнений, чи є він у древньому турбо паскалі.


Це не паскаль а Delphi

11

Re: Допоможіть виправити помилку! Буду вдячний!!!

Misha__Samopal написав:
Torbins написав:

Odin88 +1 за спостережливість.

Misha__Samopal
Odin88 правий, щоб з'явилися усілякі додаткові математичні функції, треба підключати модуль Math. Щоправда я не впевнений, чи є він у древньому турбо паскалі.


Це не паскаль а Delphi

Тоді,просто,підключіть модуль math :

uses
  SysUtils,math;
Подякували: Misha__Samopal1